Datasheet is currently unavailable. Try again or CONTACT US
Datasheet SDS

Human IgG Biotin

3 References
009-0602
1 mg
Lyophilized
ELISA, Microarray
Human
$136.00 /Per Item
Shipping info:

Find your nearest distributor for timely delivery and local support.

Product Details

Human IgG Whole Molecule Biotin Conjugated - 009-0602
Human IgG Biotin conjugation, Human immunoglobulin G, Vitamin H, coenzyme R
Human
Biotin
IgG
Native Protein

Target Details

Human IgG whole molecule Biotin conjugated was prepared from normal serum delipidation, salt fractionation, ion exchange chromatography followed by extensive dialysis against the buffer stated above.  Human IgG whole molecule Biotin conjugated was assayed by immunoelectrophoresis resulted in a single precipitin arc against anti-biotin, anti-Human IgG and anti-Human Serum.

Application Details

ELISA
Microarray  - View References
Human IgG whole molecule Biotin conjugated has been tested in ELISA and can be utilized as a control reagent in both Western Blotting and ELISA format experiments.

Formulation

1.040 mg/mL by UV absorbance at 280 nm
0.02 M Potassium Phosphate, 0.15 M Sodium Chloride, pH 7.2
0.01% (w/v) Sodium Azide
10 mg/mL Bovine Serum Albumin (BSA) - Immunoglobulin and Protease free
1.0 mL
Restore with deionized water (or equivalent)

Shipping & Handling

Ambient
Store vial at 4° C prior to restoration.   For extended storage aliquot contents and freeze at -20° C or below.  Avoid cycles of freezing and thawing.  Centrifuge product if not completely clear after standing at room temperature.  Human IgG whole molecule Biotin conjugated is stable for several weeks at 4° C as an undiluted liquid.  Dilute only prior to immediate use.
Expiration date is one (1) year from date of receipt.
Secreted as part of the adaptive immune response by plasma B cells, immunoglobulin G constitutes 75% of serum immunoglobulins. Immunoglobulin G binds to viruses, bacteria, as well as fungi and facilitates their destruction or neutralization via agglutination (and thereby immobilizing them), activation of the compliment cascade, and opsonization for phagocytosis. The whole IgG molecule possesses both the F(c) region, recognized by high-affinity Fc receptor proteins, as well as the F(ab) region possessing the epitope-recognition site. Both heavy and light chains of the antibody molecule are present. This Human IgG whole molecule is conjugated to biotin (Vitamin H), a small biomolecule that has a large affinity for avidin and streptavidin.
(). Age, Disease Severity and Ethnicity Influence Humoral Responses in a Multi-Ethnic COVID-19 Cohort. Viruses.
Applications
Microarray
(). A quantitative enzyme-linked immunoassay (ELISA) to approximate complement-fixing antibody titers in serum from patients with coccidioidomycosis. Diagn Microbiol Infect Dis.
Applications
Undefined
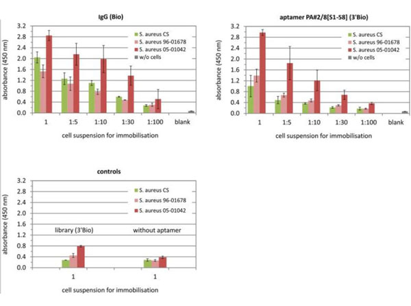
(). G-quadruplex aptamer targeting Protein A and its capability to detect Staphylococcus aureus demonstrated by ELONA. Scientific Reports
Applications
Other

Invalid lot number

If you need help finding your CoA, contact us

No test method can provide total assurance that the hepatitis B virus, hepatitis C virus, human immunodeficiency virus, or any other infectious agents are absent. Thus, all blood products, including purified proteins derived from human blood sources, should be handled at Biosafety Level 2 as recommended by the CDC\NIH manual entitled Biosafety in Microbiological and Biomedical Laboratories for potentially infectious human serum, blood specimens or proteins derived from same. Source material for the human blood product supplied to your facility has been tested for the detection of HIV antibody, Hepatitis B surface antigen, antibody to Hepatitis C, HIV 1 antigen(s), antibody to HTLV - I/II, and syphilis by FDA guidelines. All units were found to be non-reactive/negative for these tests. All human blood source material is collected in FDA licensed centers and is tested with FDA approved test kits.; This product is for research use only and is not intended for therapeutic or diagnostic applications. Please contact a technical service representative for more information. All products of animal origin manufactured by Rockland Immunochemicals are derived from starting materials of North American origin. Collection was performed in United States Department of Agriculture (USDA) inspected facilities and all materials have been inspected and certified to be free of disease and suitable for exportation. All properties listed are typical characteristics and are not specifications. All suggestions and data are offered in good faith but without guarantee as conditions and methods of use of our products are beyond our control. All claims must be made within 30 days following the date of delivery. The prospective user must determine the suitability of our materials before adopting them on a commercial scale. Suggested uses of our products are not recommendations to use our products in violation of any patent or as a license under any patent of Rockland Immunochemicals, Inc. If you require a commercial license to use this material and do not have one, then return this material, unopened to: Rockland Inc., P.O. BOX 5199, Limerick, Pennsylvania, USA.

Related products to: Human IgG Biotin